Le fer, un minéral indispensable au bon fonctionnement de l’organisme
Grâce à ses propriétés chimiques, notamment sa capacité à passer de l’état ferrique à l’état ferreux et à réagir avec les autres atomes, le fer est un minéral absolument indispensable au fonctionnement de l’organisme. Il intervient dans une multitude de réactions biochimiques et de fonctions du corps.
Quels rôles exerce le fer dans l’organisme ?
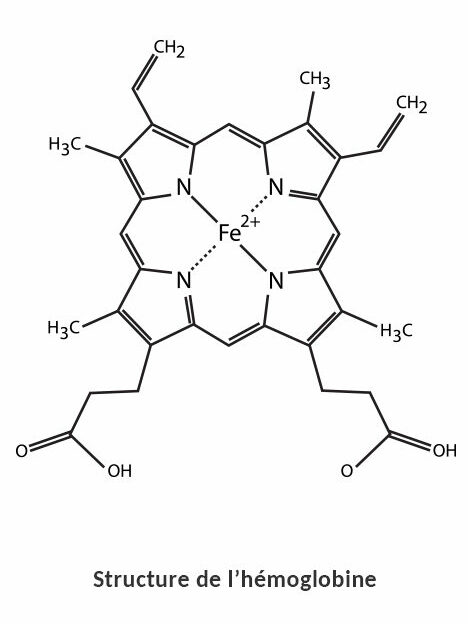
Le fer est au cœur de plusieurs processus vitaux de l’organisme. Sa présence dans la structure de l’hémoglobine, la principale protéine des globules rouges, et dans la myoglobine des cellules musculaires et cardiaques, le rend indispensable à l’approvisionnement des cellules en oxygène.


Le fer est également présent dans les mitochondries, les mini-usines énergétiques de la cellule. Intégré à des protéines appelées cytochromes, le fer participe ainsi à la synthèse de l’ATP (adénosine triphosphate), la molécule qui permet de stocker et distribuer l’énergie aux différents compartiments de la cellule.
Le fer est par ailleurs le cofacteur d’une multitude d’enzymes : oxydases, peroxydases, catalases… qui assurent les réactions grâce auxquelles les cellules peuvent exercer leurs fonctions.
Il participe enfin à la formation, la croissance et la différenciation des cellules, mais également à la synthèse des messagers du cerveau (neurotransmetteurs) et des hormones.
Où se trouve le fer dans l’organisme ?
L’organisme humain contient environ 4 g de fer chez l’homme et 2,5 g chez la femme. Il est possible de distinguer plusieurs catégories de cet oligo-élément.
Le fer « fonctionnel » se trouve au sein de l’hémoglobine des globules rouges dans le sang (ce qui représente 60 à 70 % du fer de l’organisme), dans la myoglobine des muscles (20 %) et dans la centaine d’enzymes à qui il est indispensable.
Le fer « de réserve » est présent sous forme de ferritine, une protéine que l’on trouve en grandes quantités au niveau du foie, de la rate, de la moelle osseuse, des macrophages et des muscles.
Le fer « de transport » (< 1 % du fer de l’organisme) est associé à une protéine, la transferrine, essentiellement localisée dans le sang.

Comment est régulée la quantité de fer de l’organisme ?
L’organisme humain est incapable d’éliminer activement un excès de fer. Pourtant, le fer peut se révéler extrêmement nocif quand il est présent en trop grande quantité. Le taux de fer ne peut pas non plus être trop bas au risque d’entraîner une anémie et divers problèmes de santé.
Les pertes naturelles de fer (sécrétions, desquamation des cellules intestinale et cutanée, émission de sueur, d’urine ou de sang menstruel) sont les seules voies d’excrétion du fer. Elles sont de l’ordre de 1 à 2 mg par jour, mais ne font l’objet d’aucune régulation.

Avec le fer, rien ne se perd, tout se transforme !
Du côté des apports, seulement 5 % du fer utilisé par l’organisme provient de l’alimentation.
Les 95 % restant viennent du recyclage notamment du fer des globules rouges en fin de vie (sénescents). Ce système fonctionne donc à l’économie, en circuit fermé !
Ce sont des cellules spécialisées appelées macrophages qui vont phagocyter les vieux globules rouges, les désintégrer pour en extraire le fer.
Les macrophages libèrent ainsi environ 25 mg de fer recyclé par jour qui sera associé à de la transferrine pour être à nouveau mis en circulation dans l’organisme.
L’hepcidine prévient l’excès de fer
Pour assurer une homéostasie du fer, c’est-à-dire à un juste équilibre permettant un taux de fer sanguin de 12 à 25 micromoles/L de sang, l’intervention d’une hormone appelée hepcidine est indispensable.
L’hepcidine est la principale hormone de régulation du fer. Elle a une action « hyposidérémique », c’est-à-dire qu’elle diminue l’absorption intestinale du fer présent dans les aliments ainsi que le recyclage du fer par les macrophages. Elle est synthétisée essentiellement par les hépatocytes — les cellules du foie (principal organe de stockage du fer dans l’organisme) — quand les réserves sont pleines.





Vous devez vous connecter pour publier un commentaire.